Inovativní analýza potravin na bázi SICRIT® technologie

Plasmion: Inovativní analýza potravin na bázi SICRIT® technologie
Dle německé BVE (Federation of German Food and Drink Industries), která je součástí FoodDrinkEurope, jsou padělání potravin a kontaminace potravin dvě největší výzvy, jejichž výskyt musí být nutně odhalen procesy kontroly kvality.
Chemická analýza je obecně nejúčinnějším a bezesporu spolehlivým nástrojem. Její nevýhody (v podobě, v jaké jí známe dnes) ovšem tkví v nutnosti přepravy vzorku, přípravy vzorku a přítomnosti kvalifikované osoby zajištující technické provedení a vyhodnocení dat. Z tohoto hlediska je tedy determinovaná jako „offline“. Poptávka po online přístupu nabízejícím okamžitá, vysoce reprodukovatelná data, a navíc bez nutnosti jejich odborné evaluace, je velmi vysoká (Obr. 1).
Plasmion: Obr. 1 – Vlastnosti online, respektive offline chemické analýzy
Logická otázka zní: „Lze momentální přístupy převést do online prostředí?“ Odpověď je ano! Plug-and-play iontový zdroj od společnosti Plasmion, tzv. SICRIT® (Soft Ionization by Chemical Reaction in Transfer) ve spojení s unikátním software s algoritmy umělé inteligence opravdu umožnují all-in-one řešení, ve kterém odpadá manuální příprava vzorku a vyhodnocení dat – tedy dvě zatím neautonomní oblasti (Obr. 2).
Plasmion: Obr. 2 – Setup zajišťující plně automatizovaný proces online monitoringu na základě SICRIT® technologie
Pojďme se ale podívat na reálné příklady.
Kontrola celistvosti balení produktu
Na základě markeru a jeho intenzity lze velmi jednoduše stanovit je-li balení porušené a produkt bude vystaven vnějším vlivům (oxidace, ztráta aroma, porušení vnitřní atmosféry balení atd.). SICRIT® reaguje v reálném čase s nulovým carry-over efektem a je tak vhodný k umístění přímo na koncovou část výrobní linky. Software pak vykazuje pouze ANO/NE hodnoty, což snižuje nutnost kvalifikovaného personálu (Obr. 3).
Plasmmion: Obr. 3 – Příklad rozdílu ve spektru získaném analýzou produktu v neporušeném a porušeném balení
Profilování potravin v reálném čase
Každá potravina má svůj specifický m/z profil, finger-print. Ve spektru není důležité pouze zastoupení hmot, ale také jejich vzájemný poměr. Algoritmus je schopen takové nuance rozpoznat a zdokonalovat je s každým změřeným vzorkem. Na PCA slotech níže (Obr. 4) je znatelné, že každý produkt má své specifické místo. Taková data poskytují velmi účinný nástroj pro rozpoznání padělku nebo jen mírné odchylky od standartní kvality. Plně automatizovaný postup je ukázán na videu níže.
VIDEO: Profilování potravin/ginu v reálném čase pomocí SICRIT/LC-QQQ
Plasmion: Obr.4 – Profilování v reálném čase a následná statistická analýza na vzorcích medu (A), sýra (B) a kávy (C)
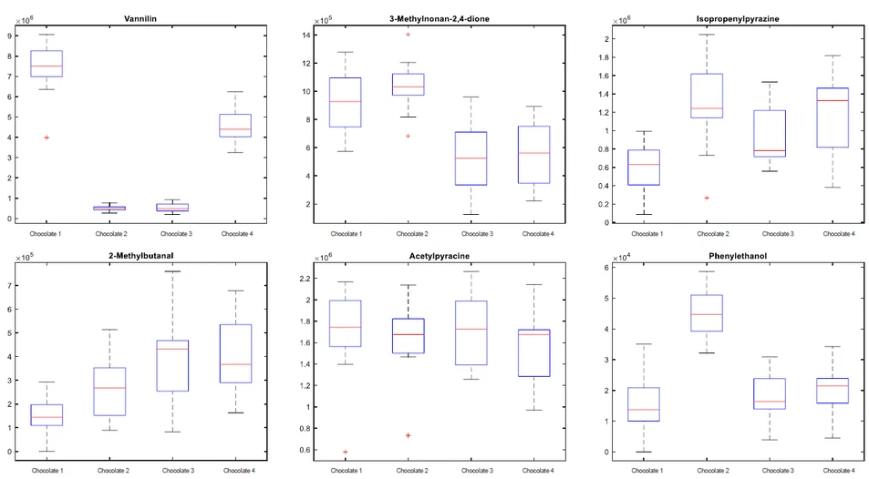
Rychlé kvantitativní stanovení složek potravin
Informace, kterou SICRIT® ve spojení s GC-SPME modulem podá není pouze kvalitativní, jak lze vidět na následujícím příkladu čokolády, která je známa pro své bohaté aroma sestávající se z mnoha složek. Šest z nic bylo náhodně vybráno a kvantifikováno na čtyřech rozdílných, vždy od jiného výrobce (Obr. 5). Taková analýza je nejen citlivá a reprodukovatelná, ale především extrémně rychlá z důvodu absence chromatografie.
VIDEO: Rychlé kvantitativní stanovení složek potravin pomocí PAL RTC/GC-SPME/SICRIT/LC-QQQ
Plasmion: Obr. 5 – Kvantifikace šesti molekul reprezentující aroma čokolády ve čtyřech rozdílných výrobcích
Suplementace aroma hodnotících panelů
Tzv. „Human Sensory Panels“ hrají nezastupitelnou roli v mnoha odvětvích potravinového průmyslu. Hodnocením celého spektra vůní a chutí dávají dohromady celkový senzorický profil produktu. Analýza tohoto druhu je však do značné míry subjektivní a nereprodukovatelná. Často pak dochází ke špatné klasifikaci nebo překryvu. Na datech, které vychází z dlouhodobého trénovaní softwarového algoritmu (200+ vzorků, real-time analýza bez chromatografie), pozorujeme nejen o několik procent větší přesnost v určení, ale aditivně dostáváme například informace rozdílných kvalitách produktu vzhledem k místu produkce (Obr. 6).
Plasmion: Obr. 6 – Výsledek stanovení kvality produktu (Q1/Q2) dle dvou použitých algoritmů na sadě klasifikovaných vzorcích (A). Geografická determinace původu vzorku o stejné kvalitě na základě jeho real-time profilování (B)
Plně automatizovaná analýza založená na SICRIT® technologii přináší velmi reprodukovatelné a citlivé výsledky v tomto případě zcela bez chromatografie, a tedy v řádu minut. Plug-and-play design iontového zdroje nevyžaduje žádnou optimalizaci parametrů a v porovnání s konvenčními ionizačními technikami (EI, APCI, APPI, ESI) poskytuje mnohem měkčí ionizaci. Aditivní (ne nutný pro používání SICRIT® technologie) software od firmy Plasmion s prvky umělé inteligence pak transformuje MS systém do zcela autonomního módu ideálního pro industriální aplikace.
Chcete-li se dozvědět víc nebo naplánovat demo zdarma ve Vaši laboratoři? Neváhejte nás kontaktovat na ([email protected]), případně telefonicky: +49 176 74 74 75 68.

-GC-SPME-modul_s.webp)


