Metodický list 3 - Porovnání výsledků s certifikovanou hodnotou CRM

Pixabay: Gerd Altmann
Certifikované referenční materiály (CRM), zejména matricové, představují materiály, jejichž složení může být blízké analyzovaným vzorkům. Analýza těchto materiálů, u nichž je hodnota měřené vlastnosti nejčastěji obsahu či koncentrace analytu známa, představuje nezastupitelný nástroj k ověření, zda získáváme postupem analýzy zavedeným v laboratoři pravdivé výsledky. Opakovaná analýza CRM poskytuje soubor dat, jehož průměrná hodnota se typicky liší od vztažné hodnoty uvedené v certifikátu. O tom, jak zhodnotit tento rozdíl, jak rozhodnout zda použitý postup analýzy poskytuje výsledky s významným vychýlením, pojednává tento Metodický list. Jeho cílem je též upozornit na dokument, publikovaný na webových stránkách Evropských referenčních materiálů (ERM), věnovaný stejné problematice.
Test vychýlení (bias) analýzou CRM je založen na porovnání experimentálně stanovené hodnoty s certifikovanou hodnotou a jim příslušných nejistot. Historicky se v literatuře i v písemných materiálech k CRM uvádělo pro hodnocení testu vychýlení několik přístupů a vztahů. Jednotlivé vztahy se lišily v závislosti na různých způsobech vyjadřování nejistot výsledků analýz a certifikovaných hodnot, na vztahu mezi velikostí nejistoty výsledků analýz a nejistoty certifikované hodnoty a na počtu provedených analýz.
Současný přístup uvádí {1} a {2}, podle kterého lze obecně tvrdit, že vychýlení je nevýznamné, jestliže platí nerovnost (1)

kde k je faktor rozšíření, u𝑒 standardní nejistota experimentálně stanovené hodnoty analýzy CRM v laboratoři x𝑒 a u𝑐 standardní nejistota certifikované hodnoty CRM x𝑐. Hodnota k závisí na předpokládaném rozdělení pravděpodobnosti (předpokládáme normální) a požadované hladině spolehlivosti (nejčastěji k= 2, což odpovídá konfidenční úrovni přibližně 95 %). Pro použití vztahu (1) je potřeba převést v certifikátu obvykle uváděnou rozšířenou nejistotu U𝑐 certifikované hodnoty na standardní nejistotu dělením faktorem rozšíření k. Způsob hodnocení s využitím vztahu (1) je demonstrován na praktickém příkladu uvedeném na konci tohoto metodického listu. Další praktickou demonstraci tohoto přístupu, spolu s podrobným návodem jak odvodit hodnoty u𝑒 a u𝑐, uvádí odkaz {1} a materiál Application note 1 *Comparison of a measurement result with the certified value *dostupný i v českém překladu {3} na webových stránkách Společného výzkumného střediska Evropské komise v Geelu věnovaných certifikovaným referenčním materiálům na adrese https://crm.jrc.ec.europa.eu/ v oddíle User support/application notes.
V případě, že je hodnota u𝑒 ve vztahu (1) vzhledem k u𝑐 zanedbatelná (tj. u𝑒 < 1/3 u𝑐, což není častý případ), pak pouze za tohoto předpokladu vztah (1) přechází výjimečně na následující vztah (2) a vychýlení je nevýznamné, když platí

Příklad
Zadání
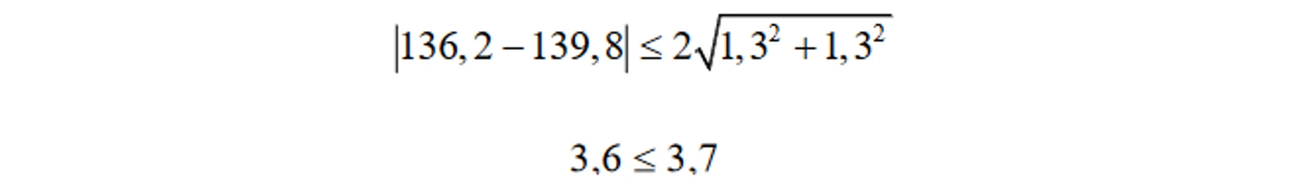
Analýzou CRM uhelného popílku, jenž má certifikovaný obsah As (136,2 ± 2,6) μg g-1(rozšířená nejistota, k=2), byla zjištěna (10 stanovení provedených v delším časovém intervalu) průměrná hodnota obsahu As 139,8 μg g-1. Variabilita obsahu As, charakterizovaná výběrovou směrodatnou odchylkou, byla rovna 4,1 μg g-1.
Zjistěte, zda používaný analytický postup vykazuje významné vychýlení. Výsledek uveďte ve formě slovní odpovědi!
Poznámka: Pro hodnocení porovnejte absolutní hodnotu rozdílu certifikované a naměřené hodnoty s nejistotou přiřazenou k tomuto rozdílu.
Řešení
Dosazením do vztahu (1) x𝑐 = 136,2; u𝑐 = 2,6/2 = 1,3; x𝑒 = 139,8; u𝑒 = 1,3 (u𝑒 = (4.1/√10) = 1,3 protože je porovnáván průměr a jeho směrodatná odchylka je s/√n, kde n je počet měření) a k = 2 (volíme přibližně 95% hladinu spolehlivosti), zjistíme, že nerovnost

je splněna a stanovená hodnota As není vychýlena na uvedené hladině spolehlivosti 95%.
Závěr
Příklad ukazuje, jak závisí výsledek testu vychýlení na vztahu nejistoty stanovené a certifikované hodnoty. Kdyby se pouze neoprávněně porovnávalo (s použitím vztahu (2)), zda naměřená hodnota zapadá do intervalu určeného pomocí rozšířené nejistoty certifikované hodnoty (136,2 + 2,6 = 138,8) došlo by se k chybnému, zcela opačnému závěru.
{1.} Friedecký B., Kratochvíla J., Klokočníková E., Kučera J., Plzák Z., Suchánek M., Sychra V. a Tichý J.: Referenční materiály v chemické analýze in KVALIMETRIE 21 Editoři Suchánek M. a Milde D., EURACHEM-ČR, Praha 2016 ISBN 978-80-86322-09-4.. Str.20.
{2.} ISO Guide 33:2015 Reference materials --Good practice in using reference materials. Český překlad zaveden jako TNI Pokyn ISO 33:2016 Referenční materiály - Správná praxe při jejich používání.
{3.} Linsinger T.: Application Note 1. Porovnání výsledku měření s certifikovanou hodnotou. European Commission, Joint Research Centre (JRC) Geel(2010).
https://crm.jrc.ec.europa.eu/graphics/cms_docs/erm1_czech.pdf



_s.webp)
