GCMS
Další informace
WebinářeO násKontaktujte násPodmínky užití
LabRulez s.r.o. Všechna práva vyhrazena. Obsah dostupný pod licencí CC BY-SA 4.0 Uveďte původ-Zachovejte licenci.
Autor
Univerzita Karlova
Univerzita Karlova
UK patří mezi 1,5% nejlepších univerzit na světě, má nejvíce mezinárodních partnerů, největší vědeckou produkci a nejširší nabídku studijních oborů ze všech českých vysokých škol. Na UK, univerzitě s nejdelší tradicí ve střední Evropě, studuje nejvíce studentů v ČR a její absolventi jsou nejúspěšnější na českém trhu práce.
Tagy
Článek
Věda a výzkum
Video
LinkedIn Logo

Mezníky AI: Od Turingova stroje k ChatGPT

Pá, 19.4.2024
| Originální článek z: MATFYZ UK/Jaroslav Vlach
Počátky vývoje umělé inteligence (AI) úzce souvisejí s vývojem výpočetní techniky a je možné je sledovat zhruba od 40. let 20. století. Pojďme se podívat na mezníky AI.
Video placeholder
  • Foto: MATFYZ UK: Mezníky AI: Od Turingova stroje k ChatGPT
  • Video: LLionTV: Petr Koubský: Umělá inteligence: příslib i hrozba (MFF-PMF 18.1.2024)

Umělá inteligence (AI) rezonuje v posledních letech veřejnými i soukromými debatami a dá se očekávat, že v budoucnu se s ní budeme setkávat čím dál častěji také v běžné praxi. Jak se zrodil fenomén, který do společnosti přináší nové možnosti, ale také hrozby?

Mnozí si pamatují, jak se v minulosti staly oblíbenými třeba kondiciogramy (ty už byly spojeny s nástupem výpočetní techniky), později mikroprocesory, mikropočítače, internet, mobily, chytré mobily, internetové vyhledávače či chytré hodinky. Vždy se jednalo o nové technické řešení, ke kterému se starší generace stavěla rezervovaně, zatímco ta mladá ho do značné míry vítala. S technologiemi je to jako se vším: když se něčeho nabažíte, chcete jít dál. Prostě člověk je veskrze pohodlný tvor a chtěl si vždy usnadnit svoji práci (vynález kola) či sdílení informací a zkušeností (třeba Google). A nyní je na řadě umělá inteligence.

Existuje několik definic, avšak technicky vzato je umělá inteligence (angl. Artificial Intelligence, zkr. AI) projevem poměrně složitého výpočetního systému, tedy programového řešení, které simuluje lidské myšlení a případně i chování nebo řešení problémů. S rostoucím výkonem počítače, na kterém je programové řešení umělé inteligence spuštěno, stoupají možnosti projevu a rychlost odezvy.

MATFYZ UK: Obrázek: Matematik Alan Turing kolem roku 1927MATFYZ UK: Obrázek: Matematik Alan Turing kolem roku 1927

Významnou osobností v rozvoji výpočetní techniky se stal již v 30. letech britský matematik Alan Mathison Turing (1912 – 1954). Ten jako první rozpracoval teorii obecných výpočetních předpisů, označovaných jako algoritmy. Jeho teorie později vedla k důkazu, že pokud lze libovolný problém algoritmizovat, je možné ho pomocí algoritmů také vyřešit. V roce 1936 položil Turing základy umělé inteligence vytvořením teorie abstraktního „univerzálního stroje“, tzv. Turingova stroje, kterému dnes říkáme počítač. Alan Turing je ovšem také známý (i díky filmu) dešifrováním válečného kódu Enigma.

Letní workshop na Dartmouthu

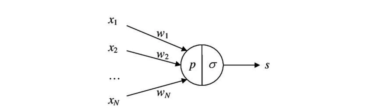
Počátky vývoje umělé inteligence úzce souvisejí s vývojem výpočetní techniky a je možné je sledovat zhruba od 40. let 20. století. Rozvoj výpočetních systémů (z dnešního pohledu ovšem velmi jednoduchých) vedl k úvahám o vytvoření modelu lidského neuronu. Jednou z osobností rozvoje kognitivních věd a umělé inteligence byl americký neurofyziolog s interdisciplinárním přesahem Warren McCulloch (1898 – 1969), který v roce 1943 společně s kolegou Walterem Pittsem popsal v článku „A Logical Calculus of the Ideas Immanent in Nervous Activity“ velmi jednoduchý matematický model základní buňky nervového systému. Tento neuron fungoval tak, že jeho výstup byl 0 nebo 1 podle toho, jestli vážená suma vstupních signálů překročila prahovou hranici či nikoliv.

MATFYZ UK: Obrázek: McCullochův model neuronuMATFYZ UK: Obrázek: McCullochův model neuronu

Další rozvoj neuronových sítí byl ovšem spíše teoretický, protože tehdejší výpočetní systémy stále nebyly schopné velkých výkonů. V létě roku 1956 se na univerzitě Dartmouth College (Hanover, New Hampshire) konala akce s názvem Dartmouth Summer Research Project on Artificial Intelligence. Letní workshop zorganizoval tehdy mladý asistent matematiky John McCarthy (1927 – 2011) s cílem ukotvit debatu o „myslících strojích“. Akce trvala zhruba dva měsíce a zúčastnilo se jí něco kolem desítky vědců z různých oblastí, od matematiky a informatiky přes fyziku až po psychologii. V podstatě šlo o takový prodloužený brainstorming, který dal základy novému odvětví. Pro rodící se obor vybral McCarthy název umělá inteligence, což byl podle něj dostatečně neutrální termín, který nekolidoval s pojmy teorie automatů nebo kybernetika. Z McCarthyho se postupně stal uznávaný odborník na umělou inteligenci, který v roce 1971 obdržel Turingovu cenu, nejvyšší ocenění v oblasti informatiky.

MATFYZ UK: Obrázek: Odborník na AI John McCarthy v roce 2006MATFYZ UK: Obrázek: Odborník na AI John McCarthy v roce 2006

První zima umělé inteligence

Velký teoretický rozvoj oboru se ale následně začal utlumovat, protože stále chyběl praktický nástroj umožňující implementovat teoretické závěry v běžném životě. Výpočetní výkon tehdejších počítačů byl pořád nedostatečný a neumožňoval v reálném čase dospět k prezentovatelnému (a tedy i k prakticky použitelnému) výsledku. V důsledku těchto i dalších neúspěchů a pomalého vývoje nastal prudký pokles financování dalšího výzkumu a obecně pokles zájmu o umělou inteligenci. Pro toto období trvající zhruba od roku 1974 do roku 1980 se zpětně vžilo označení „první zima umělé inteligence“ (First AI Winter).

Stojaté vody koncem 80. let lehce rozvířil samořiditelný robotický systém, který vyvinuli vědci na Carnegie Mellon University v USA. Systém dokázal vnímat okolí a řídit malé vozítko, jeho výpočetní výkon byl však asi desetkrát menší, než mají dnešní chytré hodinky.

V roce 1997 porazil tehdejší „superpočítač“ DeepBlue firmy IBM světového šampiona v šachu Garry Kasparova, což lze z dnešního pohledu popsat tak trochu jako vítězství získané „hrubou silou“.

Manipulace pomocí AI

Nové tisíciletí přineslo nové možnosti, ale také hrozby. Především díky miniaturizaci a výrobnímu rozmachu mohlo dojít k výraznému zvětšení výpočetního výkonu. V posledních letech pozorujeme zejména velký rozmach strojového učení s využitím umělé inteligence. Dostupné jsou aplikace umožňující komunikaci (chatování) s „chytrým“ robotem, tzv. chatbotem. V této oblasti si velkou pozornost získala zejména firma OpenAI, která v roce 2022 uvedla na trh chatbot ChatGPT. Jde o jeden z největších a nejpropracovanějších jazykových modelů vůbec a zároveň o nejrychleji rostoucí spotřebitelskou aplikaci v dosavadní historii – již pár měsíců po uvedení měl chatbot více než 100 milionů uživatelů. ChatGPT dokáže generovat odpovědi v širokém spektru oblastí. Na základě slovního zadání zvládne napsat počítačový program, zanalyzovat data nebo třeba složit zkoušku na vysoké škole.

Po roce 2020 už je jasné, že umělá inteligence umožňuje generovat výstupy, které jsou velmi těžko či prakticky vůbec nerozlišitelné od skutečnosti. Internetem se šíří zprávy, články i videa, která prezentují částečně nebo úplně pozměněné informace. Tyto podvrhy, tzv. deepfakes, mají za cíl oklamat konzumenta, ovlivnit veřejné mínění či dokonce někoho poškodit. Masově rozšířené jsou například automaticky generované komentáře v internetových diskusích a na sociálních sítích. Rozpoznání takových „hluboce“ falešných zpráv (deep fake news) je stále problematičtější. Aktuální otázka, na kterou však zatím neexistuje uspokojivá odpověď, tak zní: co s tím?

články o umělé intelingenci na portálech LabRulez

Univerzita Karlova
LinkedIn Logo
 

Mohlo by Vás zajímat

Alcohol Determination of Sanitizer Gel Using Nexis GC-2060

Aplikace
| 2026 | Shimadzu
Instrumentace
GC
Výrobce
Shimadzu
Zaměření
Farmaceutická analýza

Sensitive and Reproducible Determination of Nitrosamines by GC/MSD

Aplikace
| 2026 | Agilent Technologies
Instrumentace
GC/MSD, GC/SQ
Výrobce
Agilent Technologies
Zaměření
Životní prostředí

High-Throughput BTEX Analysis in Nail Products by SPME and GC/TQ

Aplikace
| 2026 | Agilent Technologies
Instrumentace
GC/MSD, GC/MS/MS, GC/QQQ, SPME
Výrobce
Agilent Technologies
Zaměření
Materiálová analýza

Accurate multi-component blast furnace gas analysis maximizes iron production and minimizes coke consumption

Aplikace
| 2026 | Thermo Fisher Scientific
Instrumentace
GC/MSD
Výrobce
Thermo Fisher Scientific
Zaměření
Průmysl a chemie

Gas Chromatograph Nexis GC-2060

Brožury a specifikace
| 2026 | Shimadzu
Instrumentace
GC
Výrobce
Shimadzu
Zaměření
Ostatní
 

Podobné články

Tomáš Mikolov: Každá technologie se dá zneužít
Článek | Osobnosti

Tomáš Mikolov: Každá technologie se dá zneužít

Tomáš Mikolov, laureát Ceny Neuron, patří k předním českým expertům na umělou inteligenci a neuronové sítě. Tomáš pracoval pro technologické giganty jakými jsou Google nebo Facebook.
Nadační fond Neuron
tag
share
more
Má generativní AI a ChatGPT ve vědě své místo?
Článek | Věda a výzkum

Má generativní AI a ChatGPT ve vědě své místo?

Jak mohou umělou inteligenci využít vědci? A jak je to s etikou jejího použití například při tvorbě vědeckých článků?
Vědavýzkum.cz
tag
share
more
AI demokratizuje přístup k informacím. Může přinést vědeckou revoluci
Článek | Věda a výzkum

AI demokratizuje přístup k informacím. Může přinést vědeckou revoluci

Stanislav Fort - studoval na Cambridge a Stanfordu, působil v Google Brain i startupu Stability AI.
Universitas
tag
share
more
Bojar: ChatGPT funguje jako agregátor internetového dojmu
Článek | Věda a výzkum

Bojar: ChatGPT funguje jako agregátor internetového dojmu

„ChatGPT a další AI chatboty nelze používat jako vyhledávače nebo zdroj faktických informací...,“ nabádá odborník na umělou inteligenci a strojové učení Ondřej Bojar z Matfyzu UK.
Forum: magazín Univerzity Karlovy
tag
share
more
 

Mohlo by Vás zajímat

Alcohol Determination of Sanitizer Gel Using Nexis GC-2060

Aplikace
| 2026 | Shimadzu
Instrumentace
GC
Výrobce
Shimadzu
Zaměření
Farmaceutická analýza

Sensitive and Reproducible Determination of Nitrosamines by GC/MSD

Aplikace
| 2026 | Agilent Technologies
Instrumentace
GC/MSD, GC/SQ
Výrobce
Agilent Technologies
Zaměření
Životní prostředí

High-Throughput BTEX Analysis in Nail Products by SPME and GC/TQ

Aplikace
| 2026 | Agilent Technologies
Instrumentace
GC/MSD, GC/MS/MS, GC/QQQ, SPME
Výrobce
Agilent Technologies
Zaměření
Materiálová analýza

Accurate multi-component blast furnace gas analysis maximizes iron production and minimizes coke consumption

Aplikace
| 2026 | Thermo Fisher Scientific
Instrumentace
GC/MSD
Výrobce
Thermo Fisher Scientific
Zaměření
Průmysl a chemie

Gas Chromatograph Nexis GC-2060

Brožury a specifikace
| 2026 | Shimadzu
Instrumentace
GC
Výrobce
Shimadzu
Zaměření
Ostatní
 

Podobné články

Tomáš Mikolov: Každá technologie se dá zneužít
Článek | Osobnosti

Tomáš Mikolov: Každá technologie se dá zneužít

Tomáš Mikolov, laureát Ceny Neuron, patří k předním českým expertům na umělou inteligenci a neuronové sítě. Tomáš pracoval pro technologické giganty jakými jsou Google nebo Facebook.
Nadační fond Neuron
tag
share
more
Má generativní AI a ChatGPT ve vědě své místo?
Článek | Věda a výzkum

Má generativní AI a ChatGPT ve vědě své místo?

Jak mohou umělou inteligenci využít vědci? A jak je to s etikou jejího použití například při tvorbě vědeckých článků?
Vědavýzkum.cz
tag
share
more
AI demokratizuje přístup k informacím. Může přinést vědeckou revoluci
Článek | Věda a výzkum

AI demokratizuje přístup k informacím. Může přinést vědeckou revoluci

Stanislav Fort - studoval na Cambridge a Stanfordu, působil v Google Brain i startupu Stability AI.
Universitas
tag
share
more
Bojar: ChatGPT funguje jako agregátor internetového dojmu
Článek | Věda a výzkum

Bojar: ChatGPT funguje jako agregátor internetového dojmu

„ChatGPT a další AI chatboty nelze používat jako vyhledávače nebo zdroj faktických informací...,“ nabádá odborník na umělou inteligenci a strojové učení Ondřej Bojar z Matfyzu UK.
Forum: magazín Univerzity Karlovy
tag
share
more
 

Mohlo by Vás zajímat

Alcohol Determination of Sanitizer Gel Using Nexis GC-2060

Aplikace
| 2026 | Shimadzu
Instrumentace
GC
Výrobce
Shimadzu
Zaměření
Farmaceutická analýza

Sensitive and Reproducible Determination of Nitrosamines by GC/MSD

Aplikace
| 2026 | Agilent Technologies
Instrumentace
GC/MSD, GC/SQ
Výrobce
Agilent Technologies
Zaměření
Životní prostředí

High-Throughput BTEX Analysis in Nail Products by SPME and GC/TQ

Aplikace
| 2026 | Agilent Technologies
Instrumentace
GC/MSD, GC/MS/MS, GC/QQQ, SPME
Výrobce
Agilent Technologies
Zaměření
Materiálová analýza

Accurate multi-component blast furnace gas analysis maximizes iron production and minimizes coke consumption

Aplikace
| 2026 | Thermo Fisher Scientific
Instrumentace
GC/MSD
Výrobce
Thermo Fisher Scientific
Zaměření
Průmysl a chemie

Gas Chromatograph Nexis GC-2060

Brožury a specifikace
| 2026 | Shimadzu
Instrumentace
GC
Výrobce
Shimadzu
Zaměření
Ostatní
 

Podobné články

Tomáš Mikolov: Každá technologie se dá zneužít
Článek | Osobnosti

Tomáš Mikolov: Každá technologie se dá zneužít

Tomáš Mikolov, laureát Ceny Neuron, patří k předním českým expertům na umělou inteligenci a neuronové sítě. Tomáš pracoval pro technologické giganty jakými jsou Google nebo Facebook.
Nadační fond Neuron
tag
share
more
Má generativní AI a ChatGPT ve vědě své místo?
Článek | Věda a výzkum

Má generativní AI a ChatGPT ve vědě své místo?

Jak mohou umělou inteligenci využít vědci? A jak je to s etikou jejího použití například při tvorbě vědeckých článků?
Vědavýzkum.cz
tag
share
more
AI demokratizuje přístup k informacím. Může přinést vědeckou revoluci
Článek | Věda a výzkum

AI demokratizuje přístup k informacím. Může přinést vědeckou revoluci

Stanislav Fort - studoval na Cambridge a Stanfordu, působil v Google Brain i startupu Stability AI.
Universitas
tag
share
more
Bojar: ChatGPT funguje jako agregátor internetového dojmu
Článek | Věda a výzkum

Bojar: ChatGPT funguje jako agregátor internetového dojmu

„ChatGPT a další AI chatboty nelze používat jako vyhledávače nebo zdroj faktických informací...,“ nabádá odborník na umělou inteligenci a strojové učení Ondřej Bojar z Matfyzu UK.
Forum: magazín Univerzity Karlovy
tag
share
more
 

Mohlo by Vás zajímat

Alcohol Determination of Sanitizer Gel Using Nexis GC-2060

Aplikace
| 2026 | Shimadzu
Instrumentace
GC
Výrobce
Shimadzu
Zaměření
Farmaceutická analýza

Sensitive and Reproducible Determination of Nitrosamines by GC/MSD

Aplikace
| 2026 | Agilent Technologies
Instrumentace
GC/MSD, GC/SQ
Výrobce
Agilent Technologies
Zaměření
Životní prostředí

High-Throughput BTEX Analysis in Nail Products by SPME and GC/TQ

Aplikace
| 2026 | Agilent Technologies
Instrumentace
GC/MSD, GC/MS/MS, GC/QQQ, SPME
Výrobce
Agilent Technologies
Zaměření
Materiálová analýza

Accurate multi-component blast furnace gas analysis maximizes iron production and minimizes coke consumption

Aplikace
| 2026 | Thermo Fisher Scientific
Instrumentace
GC/MSD
Výrobce
Thermo Fisher Scientific
Zaměření
Průmysl a chemie

Gas Chromatograph Nexis GC-2060

Brožury a specifikace
| 2026 | Shimadzu
Instrumentace
GC
Výrobce
Shimadzu
Zaměření
Ostatní
 

Podobné články

Tomáš Mikolov: Každá technologie se dá zneužít
Článek | Osobnosti

Tomáš Mikolov: Každá technologie se dá zneužít

Tomáš Mikolov, laureát Ceny Neuron, patří k předním českým expertům na umělou inteligenci a neuronové sítě. Tomáš pracoval pro technologické giganty jakými jsou Google nebo Facebook.
Nadační fond Neuron
tag
share
more
Má generativní AI a ChatGPT ve vědě své místo?
Článek | Věda a výzkum

Má generativní AI a ChatGPT ve vědě své místo?

Jak mohou umělou inteligenci využít vědci? A jak je to s etikou jejího použití například při tvorbě vědeckých článků?
Vědavýzkum.cz
tag
share
more
AI demokratizuje přístup k informacím. Může přinést vědeckou revoluci
Článek | Věda a výzkum

AI demokratizuje přístup k informacím. Může přinést vědeckou revoluci

Stanislav Fort - studoval na Cambridge a Stanfordu, působil v Google Brain i startupu Stability AI.
Universitas
tag
share
more
Bojar: ChatGPT funguje jako agregátor internetového dojmu
Článek | Věda a výzkum

Bojar: ChatGPT funguje jako agregátor internetového dojmu

„ChatGPT a další AI chatboty nelze používat jako vyhledávače nebo zdroj faktických informací...,“ nabádá odborník na umělou inteligenci a strojové učení Ondřej Bojar z Matfyzu UK.
Forum: magazín Univerzity Karlovy
tag
share
more
Další projekty
LCMS
ICPMS
Sledujte nás
FacebookX (Twitter)LinkedInYouTube
Další informace
WebinářeO násKontaktujte násPodmínky užití
LabRulez s.r.o. Všechna práva vyhrazena. Obsah dostupný pod licencí CC BY-SA 4.0 Uveďte původ-Zachovejte licenci.