Stanovení polychlorovaných bifenylů (PCB) pomocí GCMS podle metody EPA 1628

- Foto: Altium International: Stanovení polychlorovaných bifenylů (PCB) pomocí GCMS podle metody EPA 1628
- Video: Agilent Technologies: Trust the New Agilent 5977C GC/MSD to Meet Your Productivity Demands with Ease
Pomocí plynového chromatografu Agilent 8890 GC s hmotnostním detektorem Agilent 5977C GC/MSD v režimu selektivního monitorování iontů (SIM)
Abstrakt
Polychlorované bifenyly (PCB), které byly dříve široce využívány v průmyslových aplikacích, byly zakázány a americkou Agenturou pro ochranu životního prostředí (EPA) klasifikovány jako perzistentní organické polutanty (POP) [1]. Metoda EPA 1628 využívá hmotnostní spektrometrii s nízkým rozlišením v režimu selektivního monitorování iontů (SIM) ke stanovení všech 209 kongenerů PCB – 65 z nich je kalibrováno a 144 podrobeno screeningu. Tato studie využívá systém Agilent 8890 GC s hmotnostním detektorem Agilent 5977C GC/MSD ke stanovení PCB v písku a půdě a splňuje všechny požadavky metody na linearitu, rozlišení a citlivost.
Úvod
PCB jsou syntetické sloučeniny patřící do skupiny chlorovaných uhlovodíků. V minulosti byly široce využívány v různých průmyslových aplikacích, například v elektrických součástkách, změkčovadlech, pigmentech a barvivech. Vzhledem k jejich perzistenci v životním prostředí a možným zdravotním rizikům však bylo jejich používání v roce 1979 zakázáno zákonem o kontrole toxických látek (TSCA). PCB jsou klasifikovány jako perzistentní organické polutanty (POP) a podle EPA jsou odolné vůči rozkladu a mají schopnost bioakumulace ve vodních organismech [1].
V reakci na potřebu účinného monitorování PCB vyvinula EPA metodu 1628, která využívá hmotnostní spektrometrii s nízkým rozlišením v režimu SIM [2]. Tato metoda jako první umožňuje stanovení všech 209 jednotlivých kongenerů PCB – kalibruje se 65 PCB a provádí se screening zbývajících 144. Metoda zahrnuje 29 značených surrogátů PCB a tři značené PCB jako interní standardy pro zajištění analytické přesnosti. V této aplikační poznámce byl ke stanovení PCB v písku a půdě použit systém Agilent 8890 GC s detektorem 5977C GC/MSD, splňující všechny požadavky metody EPA 1628.
Experiment
Pro tuto práci byl použit systém Agilent 8890 GC s detektorem 5977C GC/MSD. Plynový chromatograf 8890 byl nakonfigurován s proplachem uprostřed kolony (mid-column backflush), aby se prodloužila její životnost. Podrobné parametry metody byly nastaveny v souladu s metodou EPA 1628 a jsou uvedeny v tabulkách 1–3.
Altium International: Stanovení polychlorovaných bifenylů (PCB) pomocí GCMS podle metody EPA 1628: Tabulka 1. Parametry metody Agilent 8890 GC pro metodu EPA 1628.
Altium International: Stanovení polychlorovaných bifenylů (PCB) pomocí GCMS podle metody EPA 1628: Tabulka 2. Parametry metody Agilent 5977C GC/MSD pro metodu EPA 1628.
Altium International: Stanovení polychlorovaných bifenylů (PCB) pomocí GCMS podle metody EPA 1628: Tabulka 3. Parametry monitorování vybraných iontů Agilent 5977C GC/MSD pro metodu EPA 1628.
Pro 65 specifikovaných kongenerů PCB dle metody EPA 1628 byla pro zajištění přesnosti analyzována devítibodová kalibrační křivka v rozsahu 5–1 000 ppb, a to ve třech opakováních. Pro ověření možné kontaminace byly analyzovány metodické i systémové slepé vzorky. Mez detekce metody (MDL) byla stanovena pomocí osmi replikátů v pískové matrici, která reprezentuje matrici s vysokým podílem pevných látek. Dále byly analyzovány vzorky půdy s přídavkem 65 kalibrovaných PCB i bez něj, aby byla posouzena výkonnost metody v reálných podmínkách. Zbývajících 144 kongenerů bylo hodnoceno v matricích písku a půdy, ale v této studii nebyly kvantifikovány. Písek byl použit jako referenční matrice pro pevné vzorky.
Výsledky a diskuse
Ukázkové chromatogramy jsou uvedeny na obrázcích 1 a 2. Obrázek 1 znázorňuje separaci 65 kalibrovaných kongenerů PCB a 32 značených kongenerů PCB při koncentracích 50 a 40 ppb. Analytická separace všech 209 kongenerů PCB a 32 značených kongenerů PCB při těchto koncentracích je zobrazena na obrázku 2.
Altium International: Stanovení polychlorovaných bifenylů (PCB) pomocí GCMS podle metody EPA 1628: Obrázek 1. Separace 65 kalibrovaných kongenerů PCB a 32 značených kongenerů PCB podle metody EPA 1628.
Altium International: Stanovení polychlorovaných bifenylů (PCB) pomocí GCMS podle metody EPA 1628: Obrázek 2. Separace všech 209 kongenerů PCB a 32 značených kongenerů PCB podle metody EPA 1628.
Podle požadavků metody EPA 1628 musí být kongenery PCB 28 a 31 chromatograficky rozlišeny tak, aby výška signálu v minimu mezi jejich píky nepřesáhla 80 % výšky menšího píku, jak je znázorněno na obrázku 3. Metoda dále vyžaduje, aby kongener PCB 118 při koncentraci 10 ppb vykazoval poměr signálu k šumu (S/N) větší nebo roven 3:1. Obrázek 4 dokumentuje splnění tohoto požadavku metody s poměrem S/N 6,1 pro kongener PCB 118 při 10 ppb.
Altium International: Stanovení polychlorovaných bifenylů (PCB) pomocí GCMS podle metody EPA 1628: Obrázek 3. Kongenery PCB 28 a 31 smíchané v poměru přibližně 1:1.
Altium International: Stanovení polychlorovaných bifenylů (PCB) pomocí GCMS podle metody EPA 1628: Obrázek 4. Kongener PCB 118 v koncentraci 10 ppb.
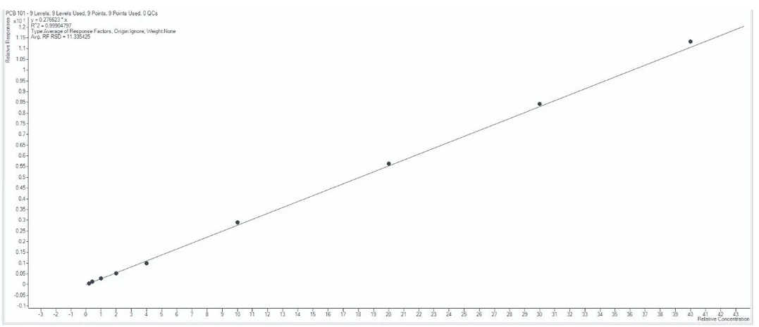
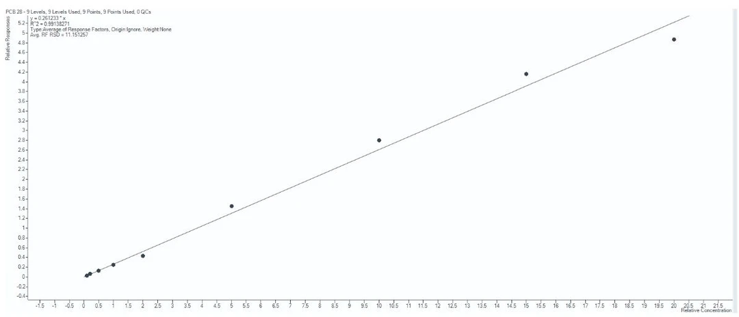
Jak je uvedeno v metodě EPA 1628, bylo kalibrováno 65 kongenerů PCB. Pro každou z těchto sloučenin byly vytvořeny devítibodové kalibrační křivky (n = 3) v rozsahu 5–1 000 ppb. Pět příkladů těchto křivek je znázorněno na obrázcích 5 až 9 a představuje reprezentativní vzorek z celkového počtu 65 kalibrovaných kongenerů PCB. Kongenery 28 a 31 byly kalibrovány s velmi dobrými výsledky i u nejtěžších kongenerů, a to i přes nižší chromatografické rozlišení. Kongener PCB 101 byl zvolen jako zástupce kalibrace kongeneru s průměrnou retenční dobou. U všech 65 sloučenin byla pozorována silná lineární závislost s hodnotou R² > 0,991. Průměrné relativní směrodatné odchylky (RSD) odezvy se pohybovaly v rozmezí 0,906–11,34 %, což splňuje požadavky metody EPA 1628, podle níž musí být RSD menší než 20 %.
Altium International: Stanovení polychlorovaných bifenylů (PCB) pomocí GCMS podle metody EPA 1628: Obrázek 5. Kalibrační křivka pro kongener PCB 28.
Altium International: Stanovení polychlorovaných bifenylů (PCB) pomocí GCMS podle metody EPA 1628: Obrázek 5. Kalibrační křivka pro kongener PCB 31.
Altium International: Stanovení polychlorovaných bifenylů (PCB) pomocí GCMS podle metody EPA 1628: Obrázek 5. Kalibrační křivka pro kongener PCB 209.
Altium International: Stanovení polychlorovaných bifenylů (PCB) pomocí GCMS podle metody EPA 1628: Obrázek 5. Kalibrační křivka pro kongener PCB 101.
Altium International: Stanovení polychlorovaných bifenylů (PCB) pomocí GCMS podle metody EPA 1628: Obrázek 5. Kalibrační křivka pro kongener PCB 188.
Pro stanovení meze detekce metody (MDL) pro každý z kongenerů bylo extrahováno 10 g suchého písku podle postupu popsaného v metodě. Hodnoty MDL uvedené v metodě se pohybují v rozmezí < 0,01 až 0,4 ng/g. MDL stanovená v pískové matrici splňuje kritéria stanovená metodou.
Byla připravena a analyzována půda z místního zdroje na přítomnost všech 209 nativních PCB. Další vzorky této půdy byly obohaceny o 65 kalibrovaných PCB v koncentraci 10 ppb. V půdě nebyly detekovány žádné PCB a výtěžnosti obohacených vzorků se pohybovaly v rozmezí 50 až 150 % pro všech 65 PCB.
Závěr
Systém Agilent 8890 GC s detektorem Agilent 5977C GC/MSD byl úspěšně použit ke stanovení kongenerů PCB podle metody EPA 1628. Tato metoda využívá hmotnostní spektrometrii s nízkým rozlišením v režimu SIM ke kvantifikaci 65 kongenerů a zároveň umožňuje detekci všech 209 nativních kongenerů. Byly splněny všechny požadavky metody, včetně linearity, rozlišení a citlivosti.
Reference
[1] Learn about Polychlorinated Biphenyls. United States Environmental Protection Agency. https://www.epa.gov/pcbs/learn-about-polychlorinated-biphenyls
[2] Method 1628 Polychlorinated Biphenyl (PCB) Congeners in Water, Soil, Sediment, Biosolids, and Tissue by Low-resolution GC/MS using Selected Ion Monitoring. United States Environmental Protection Agency.
https://www.epa.gov/system/files/documents/2021-07/method-1628-pcb-congeners-by-low-resolution-gc-ms_july-2021.pdf




