Monitoring reziduí fungicidů používaných v ochraně sladovnického ječmene

Pixabay/Artturi Mäntysaari: Monitoring reziduí fungicidů používaných v ochraně sladovnického ječmene
V posledních letech se strobiluriny staly velmi významnou skupinou účinných látek používaných proti chorobám ječmene i chmele. Jsou to látky se širokým fungicidním účinkem. Vyznačují se velmi variabilními vlastnostmi, včetně spektra jejich účinnosti. Působí především preventivně, mají však i kurativní a některé i eradikativní účinnost. Všechny působí kontaktně, některé také hloubkově nebo systemicky.
Vzhledem k nárůstu rozsahu použití strobilurinů v ochraně ječmene a chmele bylo nezbytné zavést sledování jejich reziduí v surovině, meziproduktech i finálním produktu.
1 ÚVOD
Strobiluriny představují v současné době velmi významnou skupinu fungicidních účinných látek.Vyznačují se především specifickým působením a velmi širokým spektrem účinnosti.
Do komerčního užívání se dostaly v roce 1996, jako produkty firmy Syngenta (azoxystrobin) a BASF (kresoxim-methyl). V současné době jsou komerčně využívány strobilurinové účinné látky uvedené v tab. 1 (1).
Tab. 1 Přehled komerčně používaných strobilurinů
Přírodní strobiluriny byly izolovány z dřevokazných stopkovýtrusých hub (Strobilurus a Oudemansiella).Tyto dřevokazné houby produkují fungicidně působící látky na obranu před nižšími houbami. Označení strobiluriny pochází z vědeckého názvu Strobilurus tanacellus, jedné z prvních hub, z nichž byly izolovány.
Strobiluriny představují významnou skupinu účinných fungicidních látek řazených z hlediska působení mezi Qo inhibitory (Quinone outside Inhibitors) spolu s oxazoline-diony (famoxadone) a imidazolinony (fenamidone). Působí tak, že inhibují mitochondriální respiraci, blokují Qo místo cytochromu b, který je součástí cytochromálního komplexu bc1 lokalizovaného uvnitř mitochondriální membrány hub. Blokován je transfer elektronů mezi cytochromem b a cytochromem c1, čímž dochází k zastavení produkce ATP a narušení energetického cyklu houby. Strobiluriny jsou původně přírodní látky produkované vyššími houbami, např. Strobilurus tanacellus (strobilurin A), Oudemansiella mucida (oudemansin A). Chemicky jsou řazeny mezi metoxyakryláty (např. azoxystrobin a picoxystrobin), metoxykarbamáty (pyraclostrobin), oximino acetáty (kresoxim-methyl, trifloxystrobin), ozimino-acetamidy (dimoxystrobin aj.) a dihydro-dioxazinony (fluoxastrobin). Vyznačují se velmi variabilními vlastnostmi, včetně spektra účinnosti. Účinkují především preventivně, mají však i kurativní a některé i eradikativní účinnost. Všechny působí kontaktně, některé hloubkově, translaminárně nebo systemicky (azoxystrobin a picoxystrobin). V rostlině se pohybují akropetálně.Mají velmi širokou účinnost, působí na houby vřeckovýtrusé (Ascomycetes), stopkovýtrusé (Basidiomycetes), houby nedokonalé (Anamorphic fungi) i oomycety (Oomycetes). Jsou vysoce ohroženy vznikem rezistence (cross rezistence v rámci QoI fungicidů) (1).
Rezistence byla prokázána u více patogenních hub, u obilovin u padlí travního (Blumeria graminis f. sp. tritici, Blumeria graminis f. sp. hordei), braničnatky pšeničné (Mycosphaerella graminicola), hnědé skvrnitosti ječmene (Pyrenophora teres), helminthosporiosy pšenice (Pyrenophora tritici – repentis) a u ostatních plodin např. u strupovitosti jabloně (Venturia inaequalis), plísně révy (Plasmopara viticola) a padlí révy (Erysiphe necator).Při použití strobilurinů je třeba důsledně dodržovat opatření proti vzniku rezistence.
Proti houbovým chorobám ječmene jsou v ČR používány azoxystrobin (Amistar), picoxystrobin (Acanto, Acanto Prima), trifloxystrobin (Sfera 267,5 EC), fluoxastrobin (Fandango 200 EC) a kresoxim-methyl (Juwel, Juwel Top). Proti houbovým chorobám chmele je v ČR registrován azoxystrobin (Ortiva). Vzhledem k nárůstu rozsahu použití strobilurinů v ochraně ječmene a chmele a jejich stabilitě v rostlině je nezbytné zavést sledování jejich reziduí v surovině, meziproduktech i finálním produktu.
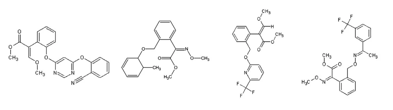
Protože tyto látky mohou znamenat potenciální nebezpečí pro lidské zdraví a životní prostředí (tab. 2), bylo cílem naší práce optimalizovat metodu stanovení azoxystrobinu (obr. 1), kresoxim-methylu (obr. 2), picoxystrobinu (obr. 3) a trifloxystrobinu (obr. 4) v ječmeni, sladu a pivu a provést monitoring jejich výskytu ve vybraných vzorcích ječmene, sladu a piva.
Tab. 2 Maximální limit reziduí pro ječmen (Vyhláška č. 381/2007 Sb.)
Obr. 1 Azoxystrobin; Obr. 2 Kresoxim-methyl; Obr. 3 Picoxystrobin; Obr. 4 Trifloxystrobin
2 MATERIÁL A METODY
2.1 Standardy a chemikálie
Standardy: azoxystrobin (99,5 %, Dr. Ehrenstorfeer GmbH, Německo), picoxystrobin (99,9 %, Riedel-de Haën, Německo), kresoxim-methyl (96,6 %, Riedel-de Haën, Německo), trifloxystrobin (99,2 %, Riedel-de Haën, Německo)
Kolony: ENVITMCarbII/PSA 500/500 mg (Supelco, USA), LiChrolut EN 200 mg (Merck, Německo), Discovery DSC-18 (Supelco, USA) Chemikálie: NaOH (Merck, Německo), methanol, aceton, acetonitril, toluen, ethylacetát (Sigma Aldrich, USA), destilovaná voda.
2.2 Vzorky ječmene, sladu a piva
Bylo analyzováno celkem 50 vzorků sladovnického ječmene, které byly získány z různých pěstebních oblastí ČR. Dále bylo analyzováno 50 vzorků sladu vyrobeného ze získaných vzorků ječmene. Analyzované vzorky piv byly zakoupeny náhodným výběrem v obchodní síti (25 vzorků).
2.2.1 Příprava vzorků ječmene a sladu
K 20 g pomleté matrice se přidá 60 ml směsi methanol:aceton (8:2). Provede se extrakce směsi v ultrazvukové lázni po dobu 30 minut. Extrakt se odstředí při 6500 min-1 po dobu 15 minut při 10–15 °C. Získané roztoky se převedou do varných baněk (250 ml) a odpaří do sucha na vakuové odparce. Odpařený vzorek se rozpustí v 5 ml acetonitrilu v ultrazvukové lázni po dobu 1 minuty. Směs se přečistí na SPE kolonce (2). Pro přečištění byly testovány 3 typy SPE kolon – ENVITMCarbII/PSA, LiChrolut EN, Discovery DSC-18.
Kolonka ENVITMCarbII/PSA byla kondicionována 5 ml směsi acetonitril: toluen (3:1). Na kondicionovanou kolonku bylo naneseno 5 ml extraktu ječmene (sladu) v acetonitrilu. Analyty byly eluovány 3 ml směsi acetonitril:toluen (3:1). Získaný eluát byl zakoncentrován na rotační vakuové odparce, odparek byl převeden do 0,5 ml etylacetátu.
Kolonky LiChrolut EN a Discovery DSC-18 byly kondicionovány 5 ml methanolu a 5 ml destilované vody. Na kondicionované kolonky bylo naneseno 5 ml extraktu ječmene (sladu) a kolonky byly promyty 1 ml destilované vody. Po vysušení dusíkem (15 min) byly analyty eluovány 2x5 ml směsi ethylacetát:voda (1:1). Takto získané eluáty byly zakoncentrovány na rotační vakuové odparce, odparky byl převedeny do 0,5 ml ethylacetátu.
2.2.2 Příprava vzorků piva
U 100 ml vzorku piva se upraví přídavkem roztoku NaOH pH na 6 a takto upravený vzorek se přečistí přes SPE kolonku. Pro přečištění byly testovány 2 typy kolon ENVItCarbII/PSA a LiChrolut EN.
Kolonka ENVITMCarbII/PSA byla kondicionována 5 ml směsi acetonitril:toluen (3:1). Na kondicionovanou kolonku bylo naneseno 100 ml piva. Analyty byly eluovány 3 ml směsi acetonitril:toluen (3:1). Získaný eluát byl zakoncentrován na rotační vakuové odparce, odparek byl převeden do 0,5 ml ethylacetátu.
Kolonka LiChrolut EN byla kondicionována 5 ml methanolu a 5 ml destilované vody. Na kondicionovanou kolonku bylo naneseno 100 ml piva a kolonka byla promyta 1 ml destilované vody. Po vysušení dusíkem (15 min) byly analyty eluovány 2x5 ml směsi ethylacetát:voda (1:1). Takto získaný eluát byl zakoncentrován na rotační vakuové odparce, odparek byl převeden do 0,5 ml ethylacetátu.
2.3 Instrumentace a chromatografické stanovení
Analýzy vzorků byly prováděny na plynovém chromatografu (Trace GC Ultra, Thermo Finigan) spojeném s hmotnostním detektorem (Trace DSQ, Thermo Finigan). K separaci analyzovaných látek byla použita kapilární kolona DB5-MS (30m x 0.25mm i.d., 0.25 μm) s následujícím teplotním programem: počáteční teplota 70 °C po dobu 1 min, nárůst teploty 10 °C.min⁻¹ do 280 °C, setrvání 5 min. Programovaný průtok nosného plynu He byl od 1.5 ml.min⁻¹ do 3 ml.min⁻¹. Teplota PTV injektoru 280 °C, splitlles režim po dobu 0,8 min. Teplota spojovací části GC a MSD byla 200 °C. Hmotnostní spektrometr byl nastaven v SCAN (50-450 m/z) a SIM (Selected Ion Monitoring) modu (EI+ – pozitivní elektronová ionizace) a vybrané hodnoty (m/z) pro jednotlivé analyty byly:
- azoxystrobin – 344, 388 (m/z)
- trifloxystrobin – 116, 131, 222 (m/z)
- picoxystrobin – 145, 335 (m/z)
- kresoxim-methyl – 116, 131, 222 (m/z).
Identifikace analyzovaných strobilurinů byla provedena na základě retenčních časů a specifických iontů m/z (obr. 5), kvantifikace byla provedena pomocí kalibračních křivek (obr. 6).
Obr. 5 Hmotnostní spektra strobilurinů
Obr. 6 Kalibrační křivky strobilurinů
3 VÝSLEDKY A DISKUSE
Byly testovány tři typy extrakčních SPE kolonek – ENVITMCarbII/PSA, LiChrolut EN a Discovery DSC-18 pro vzorky ječmene a sladu a dva typy kolonek – ENVITMCarbII/PSA a LiChrolut EN pro vzorky piv.
Kolonka ENVITMCarbII/PSA poskytovala velice dobré výsledky pro vzorky ječmene a sladu.Při optimalizaci kolonky byly prováděny eluce analytů různými elučními objemy (10 ml, 6 ml, 4 ml a 3 ml) směsi acetonitril:toluen (3:1). Jako nevhodnější byl zjištěn objem 3 ml, při kterém docházelo k nejmenší eluci interferentů a k nejvyšší výtěžnosti. Kolonka však nebyla vhodná pro analýzy vzorků piv, protože docházelo k rozmývání analytů a k eluci interferujících látek.
Kolonky LiChrolut EN a Discovery DSC-18 nebyly vhodné pro analýzy ječmene a sladu. Při použití těchto kolonek docházelo k nedostatečnému oddělení interferujících látek, které měly při chromatografické analýze stejné retenční časy jako stanovované analyty.
Pro analýzy vzorků piv byla nejvhodnější kolonka LiChrolut EN. Tato kolonka je vhodná pro zakoncentrování a čištění větších objemů a u vzorků piv docházelo k dostatečnému oddělení interferujících látek.
Byla optimalizována metoda stanovení strobilurinů v ječmeni, sladu a pivu (3). Validační parametry pro jednotlivé matrice a SPE kolonky jsou uvedeny v tab. 3 a 4.
Tab. 3 Ječmen a slad (SPE – EnviTMCarbII/PSA)
Tab. 4 Pivo (SPE – LiChrolut EN)
Výsledky stanovení jednotlivých látek ve sladu, ječmeni a pivu jsou uvedeny v tab. 5.
Tab. 5 Obsah reziduí strobilurinů v analyzovaných vzorcích
4 ZÁVĚR
Strobilurinové pesticidy představují skupinu pesticidů, jež má poměrně široké spektrum účinnosti proti houbovitým chorobám. Jedná se o relativně novou skupinu látek, která nemusí být dokonale prozkoumána a možné dlouhodobé následky jejich reziduí nejsou dostatečně přesně popsány.Tyto látky tedy mohou znamenat zdravotní riziko pro lidský organismus.
Cílem této práce bylo zjistit možné stopy strobilurinových pesticidů v ječmeni, sladu a pivu. Případný nadlimitní výskyt reziduí by mohl ohrozit konzumenta, proto je nutné je sledovat. Přípustné limity reziduí jsou stanoveny Vyhláškou č. 381/2007 Sb. ze dne 19. prosince 2007 o stanovení maximálních limitů reziduí v potravinách a surovinách.
Byly analyzovány vybrané v ochraně sladovnického ječmene v ČR nejvíce používané strobiluriny – azoxystrobin, kresoxim-methyl, picoxystrobin a trifloxystrobin.
V současnosti není popsáno mnoho metod, které se zabývají stanovením strobilurinů v obilovinách nebo pivu (4, 5, 6, 7, 8). Většina uveřejněných prací se věnuje stanovení těchto látek v ovoci a hroznech révy vinné. Proto bylo nutné optimalizovat metodu pro stanovení v obilovinách a pivu. Obiloviny, tedy analyzovaný ječmen, obsahují značné množství barviv, především chlorofylu, které značně znepříjemňují stanovení metodou GC-MSD, protože mohou překrývat stanovované analyty a dále zatěžují iontový zdroj. Obdobná situace nastává i u vzorků piva, kde je nezbytné odstranit interferující balastní látky.
Byla optimalizována a validována metoda stanovení vybraných strobilurinů v ječmeni, sladu a pivu. Pro přečištění extraktů z ječmene, sladu a vzorků piva byla optimalizována SPE metoda výběrem vhodných kolonek pro jednotlivé matrice. Pro ječmen a slad byla nejvhodnější kolonka ENVITMCarbII/PSA a pro vzorky piva kolonka Li-Chrolut EN.
Obsahy strobilurinů ve všech analyzovaných vzorcích byly pod mezí stanovení a tedy i pod hodnotou maximálního limitu reziduí (MLR) daného Vyhláškou č. 381/2007 Sb. ze dne 19. prosince 2007 o stanovení maximálních limitů reziduí v potravinách a surovinách.




