Andrej Jančařík: Naše molekuly mohou vést k sestrojení kvantového počítače

Nadace Experientia: Andrej Jančařík
Má rád technologie a je velkým fandou science-fiction. Není divu, že Andrej Jančařík díky grantu Nadace Experientia vycestoval na roční pobyt právě do skupiny dr. Gourdona ve francouzském National Centre for Scientific Research. „Přišlo mi, že téma, kterým se jeho skupina zabývá, je takové sci-fi, které se v brzké budoucnosti může stát realitou,“ vysvětluje Jančařík, který si díky tomu, že mu dr. Gourdon nabídl placenou pozici, pobyt ve Francii prodloužil. „V této fázi výzkumu se snažíme připravovat molekuly, které by mohly být použity jako součástky k sestrojení kvantového počítače. Myslím si, že pokud se podaří sestrojit opravdový kvantový počítač, nastane vědecká revoluce,“ říká stipendista.
O grant Nadace Experientia jste žádal s projektem polyaromatických uhlovodíků, co bylo cílem vašeho projektu?
Cílem projektu bylo připravit sérii polyaromatických látek, které budou absorbovat světlo o vhodné vlnové délce, zároveň budou nesymetrické s rigidní strukturou a dipólovým momentem a nebudou obsahovat žádné pohyblivé části. Tyto látky by měly sloužit jako nanosenzory elektrického náboje a detekovat jeho pohyb.
Polyaromatické látky, kterým jste se věnoval, mají velmi zajímavé chemické vlastnosti, k čemu je tyto vlastnosti předurčují?
Fyzikální a chemické vlastnosti se odvíjí od struktury a tvaru dané sloučeniny. Díky tomu můžeme navrhnout a připravit látky požadovaných vlastností. V našem konkrétním případě nám až tolik nezáleží na tvaru molekuly, ale spíše hledáme barevné polyaromatické látky, které budou rigidní a s dipólovým momentem. Jakákoliv flexibilní či pohyblivá část molekuly by nám vytvářela šum a snižovala tak citlivost detektoru. Pokud by se nám podařilo připravit látku, která by splňovala tato kritéria, mohli bychom sestrojit GPS elektrického náboje.
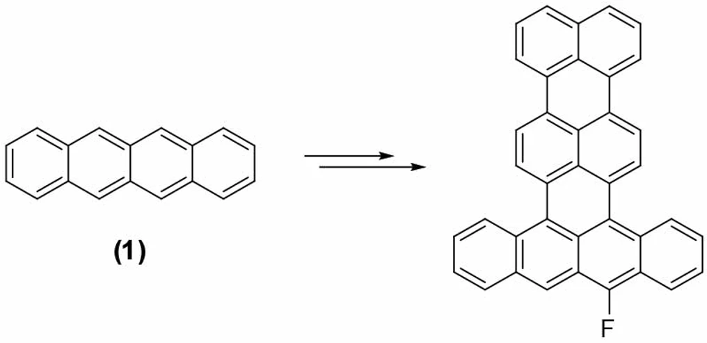
Jak konkrétně probíhal váš výzkum?
Celá syntéza vychází z tetracenu (1), který je prakticky nerozpustný. Zároveň je ale také velice senzitivní na světlo, kyslík a bohužel i na teplotu. I když je tento projekt zaměřen na přípravu látek pro využití ve fotofyzice, paradoxně nejkomplikovanější bylo pracovat bez přístupu světla. Všechny intermediáty a výchozí suroviny byly na světle labilní, vidět denní světlo bylo proto v některých měsících docela vzácnost. Jinak jsem používal v organické syntéze běžně známé techniky – Schlenkovu techniku, linky s kombinací argon/vakuum, glovebox atd.
Nadace Experientia.
Jaké může být využití vašich objevů pro nanoelektrická zařízení?
V této fázi výzkumu se snažíme připravovat molekuly, které by mohly být použity jako součástky k sestrojení kvantového počítače. Kvantový počítač, zatím hypotetický, by umožnil řešit úlohy, se kterými si klasický počítač poradí jen velmi těžko, nebo vůbec. Je to dáno tím, že klasický počítač řeší úlohy iteračně, zato kvantový počítač je řeší paralelně všechny najednou. Takový počítač nalezne uplatnění ve všech oblastech přírodních věd (meteorologie, počítačový design nových léčiv atd.). Myslím si, že pokud se podaří sestrojit opravdový kvantový počítač, nastane vědecká revoluce.
Proč jste se vy osobně specializoval právě na tuto oblast chemie?
Především proto, že mám rád technologie a jsem velký fanda science-fiction.
Díky grantu Nadace Experientia jste vycestoval na roční pobyt do skupiny dr. Gourdona ve francouzském National Centre for Scientific Research. Čím vás vlastně dr. Gourdon oslovil?
Přišlo mi, že oblast, kterou se zabývá skupina dr. Gourdona, je takové sci-fi, které se v brzké budoucnosti může stát realitou. Podobných vědeckých skupin je na světě více, ale velkou roli v mém konkrétním výběru sehráli mí bývalí školitelé Ivo a Irena Starých. Ti znají Andre Gourdona osobně a chválili ho i po lidské stránce. Pro mě byla lidská stránka mého vedoucího a celková atmosféra na pracovišti stejně důležitá jako téma výzkumu. Naopak v jakém státě či městě se nachází vědecké pracoviště, mi bylo upřímně jedno.
Na čem pracuje výzkumný tým dr. Gourdona a jakou část výzkumu u něj máte na starosti vy?
V zásadě se věnujeme všemu, co spadá do oblasti nano. Hlavní témata jsou nanoelektronika, spintronika, kvantové počítání, nanostroje apod. Já mám na starosti chemickou syntézu různých součástek.
Jak vypadala spolupráce s dr. Gourdonem? Jak pracuje a co jste se od něj zásadního přiučil?
Andre Gourdon je velice chytrý, organizovaný a systematický člověk. Má neuvěřitelně přímočaré myšlení. Když jsem seděl první den v jeho kanceláři, celý jeho pracovní stůl byl pokrytý různobarevnými složkami naskládanými v komíncích. Začal mi vyprávět jaký projekt se nachází v jaké složce a řekl, že si z nich mohu vybrat, co bych chtěl dělat. Odvětil jsem, že všechny. On mi na to řekl, ať si to tedy odnesu všechno, že mu tím uklidím stůl. Pak mi ukázal laboratoř a mou kancelář. Když jsem později otevřel jednotlivé složky, byly v nich pouze protokoly ve francouzštině a spousta vědeckých publikací, které byly různě “vymalované” barevnými zvýrazňovači. V životě jsem nedržel v ruce zvýrazňovač a minulé Vánoce jsem si je přál pod stromeček. Barevné složky jsem nafasoval v práci. Ještě bych od dr. Gourdona chtěl pochytit jeho styl myšlení, totiž přesně vědět co, kdy a jak říct, abych udeřil hřebíček na hlavičku.
Skupina dr. Gourdona je multidisciplinární, jaké to je pracovat v takové skupině?
Ze začátku to bylo dost těžké. V týmu Andreho Gourdona jsme syntetici jenom dva (on a já). Zbytek skupiny tvoří fyzici a teoretici a každý má ještě velmi úzkou specializaci. První semináře jsem byl úplně ztracený, místo chemických struktur se totiž řešily matice a determinanty. Ale čím více věcem nerozumím, o to více mě motivují ke studiu. Musím též říci, že tím, že každý má svoji specializaci, tu panuje vzájemný respekt a úcta.
A jaké byly vaše dojmy z National Centre for Scientific Research? V čem se tamní vědecké prostředí liší od českého?
Po vědecké stránce je to velice podobné. Jen bych řekl, že je tady přebujelá byrokracie a až nezdravě se dbá na bezpečnost práce. Ale je jen otázka času, kdy to dorazí i do ČR.
Jaký cíl stáže jste si vytkl, když jste na ni jel?
Jelikož jsem přesně nevěděl, co mě zde bude čekat, nechtěl jsem si dávat žádné cíle. Jenom jsem si říkal, hlavně neudělat ostudu a ukázat, že poskytnuté finance od Nadace Experientia nebyly špatnou investicí.
Zřejmě nikoliv, již vám vyšla první publikace Unimolecular Logic Gate with Classical Input by Single Gold Atoms. O čem pojednává?
Připravili jsme polyaromatickou látku ve tvaru písmene Ypsilon. Jediná molekula této látky (jedno písmenko Y) byla úspěšně testována jako součástka logického obvodu. Jednoduše řečeno, námi připravená molekula je schopna počítat jedničky a nuly. Další projekty jsou rozpracované, tak věřím, že k této publikaci brzo přibudou další.
Mnoho stipendistů si svůj zahraniční pobyt prodloužilo, vy jste byl jedním z nich, ve Francii vám nabídli placenou pozici. Na čem zde aktuálně pracujete?
Momentálně se snažím dokončit všechny rozpracované projekty. Nejrozsáhlejší projekt a zároveň projekt s největší prioritou je příprava grafénového pásku o maximální šířce několika nanometrů. Vlastnosti, jaké budou mít tyto pásky, závisí pouze na tvaru jejich okrajů. Podle toho můžeme mít pásky, které mohou mít třeba kovový charakter nebo se chovat jako polovodič. U jiných se zase předpokládají supravodivé vlastnosti. Také můžeme ovlivňovat jejich magnetické vlastnosti.
Můžete na závěr říci, co pro vás osobně znamenal grant od Nadace Experientia a jak vás stáž, na kterou jste mohl díky nadaci vycestovat, kariérně, ale třeba i lidsky posunula?
To nejdůležitější myslím je, že jsem díky Nadaci Experientia a stáži získal směr, kam se ve své kariéře ubírat. Po lidské stránce mám pocit, že jsem dospěl a vyzrál, i přestože jsem si myslel, že to už mám dávno za sebou.
Co byste vzkázal potenciálním žadatelům o grant Nadace Experientia?
Není o čem přemýšlet! Grant Nadace Experientia je nejlepší, nejjednodušší a nejefektivnější způsob, jak se dostat na top výzkumné pracoviště kdekoliv ve světě.
Andrej Jančařík
se narodil v roce 1984 v Bohumíně. V roce 2014 absolvoval Ph.D. studium organické chemie na ÚOCHB v Praze u dr. Iva Starého a dr. Ireny G. Staré. Postdoktorandskou stáž, na kterého ho Nadace Experientia podpořila ročním stipendiem ve výši 1 170 000 Kč, absolvoval na francouzském National Centre for Scientific Research. Zde ve skupině dr. Gourdona nadále působí. Do budoucna si chce založit vlastní vědeckou skupinu v zahraničí.




