GCMS
Další informace
WebinářeO násKontaktujte násPodmínky užití
LabRulez s.r.o. Všechna práva vyhrazena. Obsah dostupný pod licencí CC BY-SA 4.0 Uveďte původ-Zachovejte licenci.
Výrobce
Phenomenex
Phenomenex
Phenomenex is a global technology leader committed to developing novel analytical chemistry solutions that solve the separation and purification challenges of researchers in industrial, government and academic laboratories. From drug discovery and pharmaceutical development to disease diagnosis, food safety to environmental analysis, Phenomenex chromatography solutions accelerate science and help researchers improve global health and well-being.
Distributor
Phenomenex
Společnost Phenomenex je celosvětovým technologickým lídrem, který se zabývá vývojem nových řešení v oblasti analytické chemie, jež řeší požadavky analytiků na separace a purifikace v průmyslových, vládních a akademických laboratořích.
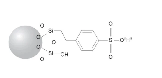
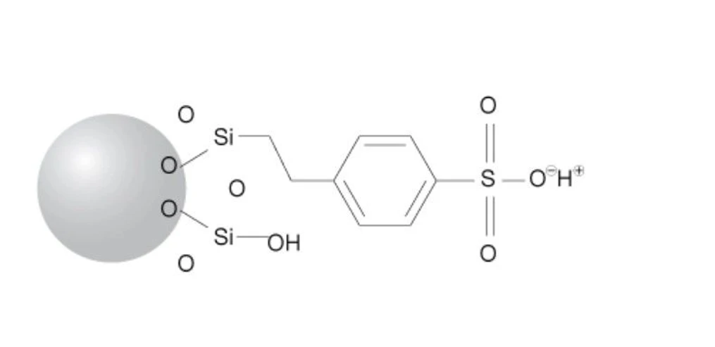
Phenomenex Strata SCX Extrakce na pevné fázi (SPE)Na povrch částic oxidu křemičitého je navázána skupina kyseliny benzensulfonové, která zajišťuje silnou selektivitu kationtové výměny.
O produktu

Phenomenex Strata SCX Extrakce na pevné fázi (SPE)

Iontově výměnný sorbent pro extrakci na pevné fázi (SPE)

Na povrch částic oxidu křemičitého je navázána skupina kyseliny benzensulfonové, která zajišťuje silnou selektivitu kationtové výměny.

  • Extrakce 1°, 2° a 3 aminů

Phenomenex: Strata SCXPhenomenex: Strata SCX

  • Plocha povrchu (m²/g): -
  • Režim separace: iontová výměna
  • Velikost částic: 55
  • Doporučené použití: Extrakce slabě bazických sloučenin

Výchozí metoda

Strata SCX - silná kationtová výměna
  • Kondicionování: 1 ml methanolu
  • Ekvilibrace: 1 ml okyselené vody
  • Dávkování: Předem upravený vzorek (okyselený)
  • Promývání 1: 1 ml 0,1M-HCl ve vodě
  • Promývaní 2: 1 ml 0,1M-HCl v methanolu, sušení ve vakuu 2-5 min
  • Eluce: 1 ml 5% NH4OH v methanolu

Na základě hmotnosti 100 mg/1 ml sorbentu. Výše uvedený postup je vhodným výchozím bodem pro vývoj metody SPE, pro přizpůsobení metody vašim specifickým potřebám extrakce může být nutná další optimalizace.

Výrobce
Phenomenex
Phenomenex
Phenomenex is a global technology leader committed to developing novel analytical chemistry solutions that solve the separation and purification challenges of researchers in industrial, government and academic laboratories. From drug discovery and pharmaceutical development to disease diagnosis, food safety to environmental analysis, Phenomenex chromatography solutions accelerate science and help researchers improve global health and well-being.
Distributor
Phenomenex
Společnost Phenomenex je celosvětovým technologickým lídrem, který se zabývá vývojem nových řešení v oblasti analytické chemie, jež řeší požadavky analytiků na separace a purifikace v průmyslových, vládních a akademických laboratořích.
 

Novinky

Toggle
Proč je nutné vysušit SPE sorbent před elucí?
Článek | Akademie

Proč je nutné vysušit SPE sorbent před elucí?

Správné vysušení SPE sorbentu je klíčovým krokem pro dosažení vysoké citlivosti, dobré reprodukovatelnosti a maximální výtěžnosti při extrakci analytů z komplexních matric.
Phenomenex
tag
share
more
Jak chránit GC kolonu – část 2
Článek | Akademie

Jak chránit GC kolonu – část 2

Jak prodloužit životnost GC kolony a zabránit jejímu znečištění? Druhá část se zaměřuje na použití lineru se skelnou vatou a správné vypalování kolony pro ochranu separační účinnost.
Phenomenex
tag
share
more
Další projekty
LCMS
ICPMS
Sledujte nás
FacebookX (Twitter)LinkedInYouTube
Další informace
WebinářeO násKontaktujte násPodmínky užití
LabRulez s.r.o. Všechna práva vyhrazena. Obsah dostupný pod licencí CC BY-SA 4.0 Uveďte původ-Zachovejte licenci.